TOKİ 40 ilde yeni kampanyayı duyurdu! Ayda 10 bin TL taksitle satış bu tarihte başlıyor
125
Toplu Konut İdaresi Başkanlığı (TOKİ), 40 ilde 531 gayrimenkulü satışa çıkardı. Bu kapsamda ayda sadece 10 bin TL'ye ev ya da dükkan sahibi olmak mümkün olacak.
225
TOKİ 500 Bin Sosyal Konut kampanyasından sonra yeni bir fırsat olarak görülen bu satış herkesi heyecanlandırdı.
325
Bu kapsamda daireler ve dükkanlar 7-8-9 Ocak 2026 tarihlerinde 'açık artırma' yöntemiyle satacak.
425
36 İLDE UYGUN TASİTLERLE İŞ YERİ SATILACAK
Afyonkarahisar, Ağrı, Aksaray, Amasya, Ankara, Ardahan, Aydın, Balıkesir, Bayburt, Bilecik, Çankırı, Düzce, Edirne, Erzurum, Hatay, Isparta, İstanbul, İzmir, Kahramanmaraş, Karabük, Karaman, Kastamonu, Kayseri, Kırıkkale, Kırklareli, Kırşehir, Konya, Kütahya, Mersin, Muğla, Nevşehir, Sakarya, Tekirdağ, Van, Yozgat ve Zonguldak illerinde satışa sunulacak 442 iş yeri ise yüzde 10 peşin 96-120 ay ve yüzde 30 peşin 60 ay vade ile alınabilecek.
525
Adana, Bitlis, İstanbul ve Nevşehir illerinde satışa sunulacak konutlarda ise yüzde 25 peşin 120 ay vade imkanı tanınacak.
625
Açık artırma toplantısı, 1-171 arasındaki lotlar için 7 Ocak 2026 Çarşamba, 172-346 arasındaki lotlar için 8 Ocak 2026 Perşembe ve 347-531 arasındaki lotlar için ise 9 Ocak 2026 Cuma saat 10.30'da yapılacak.
725
Açık artırmalar, Ankara İlbank Sosyal Tesisleri ile TOKİ İstanbul Hizmet Binası'nda gerçekleştirilecek.
825
Ayrıca internet üzerinden de (muzayede.emlakyonetim.com.tr) teklif verilebilecek.
925
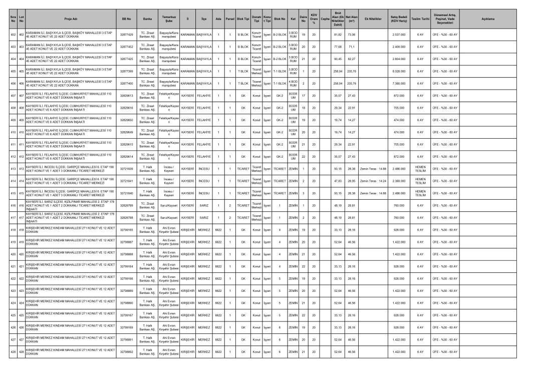
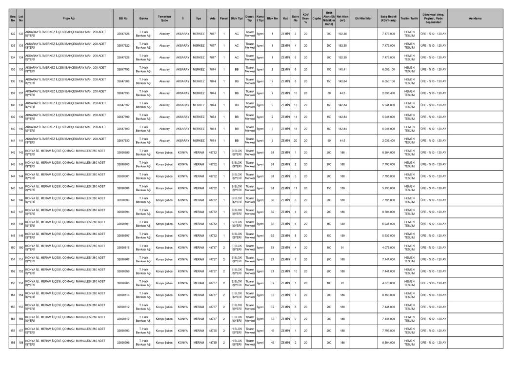
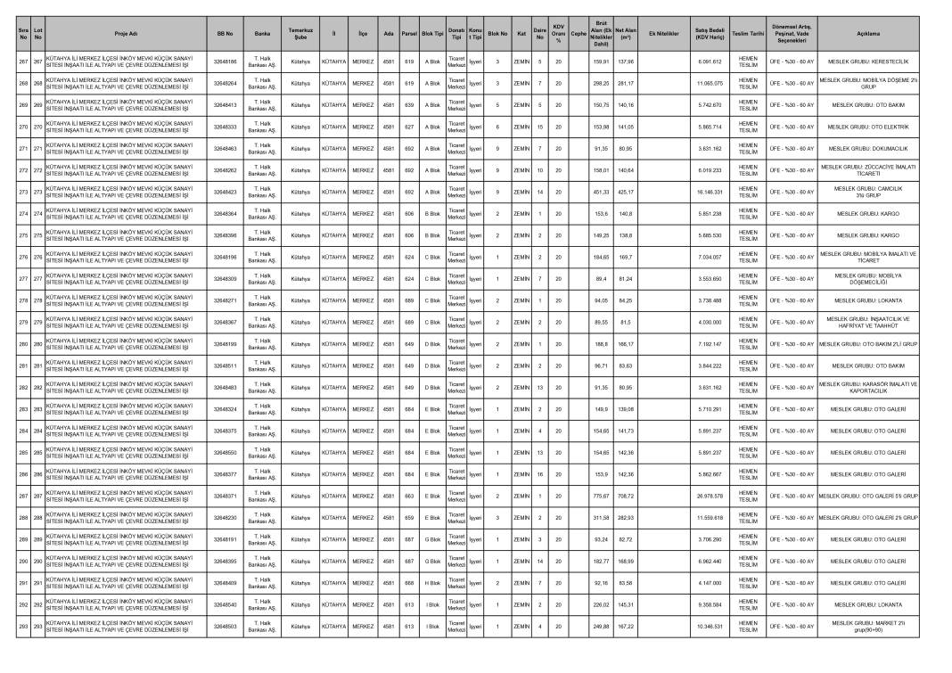
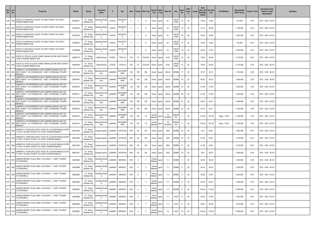
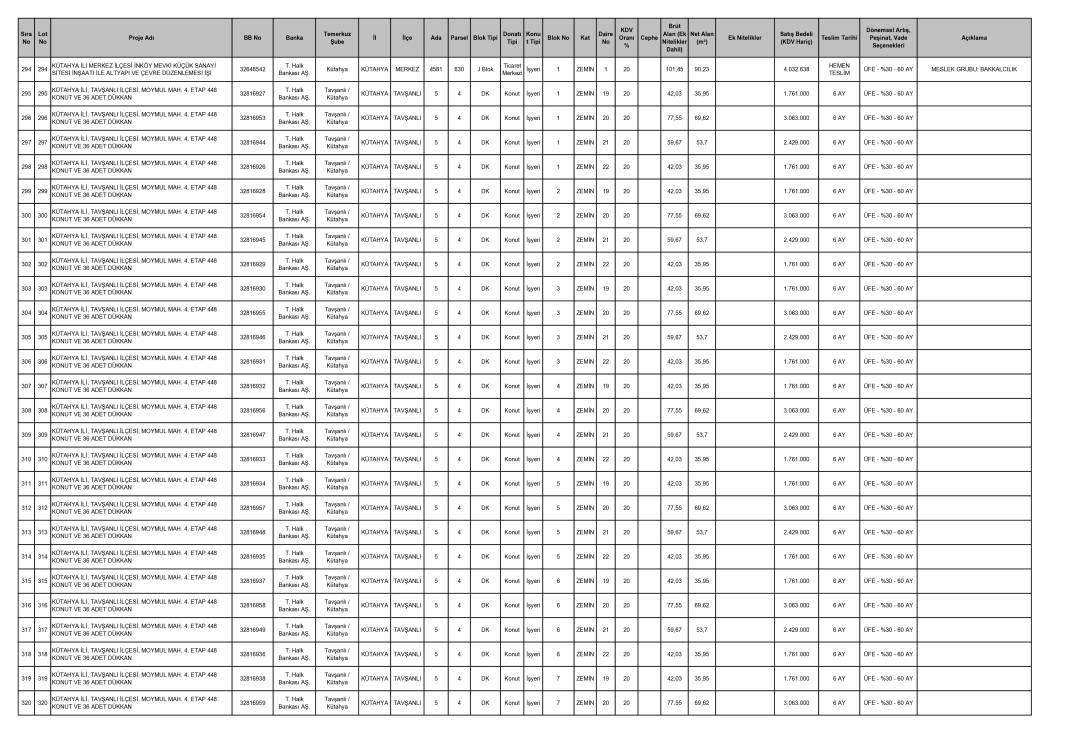
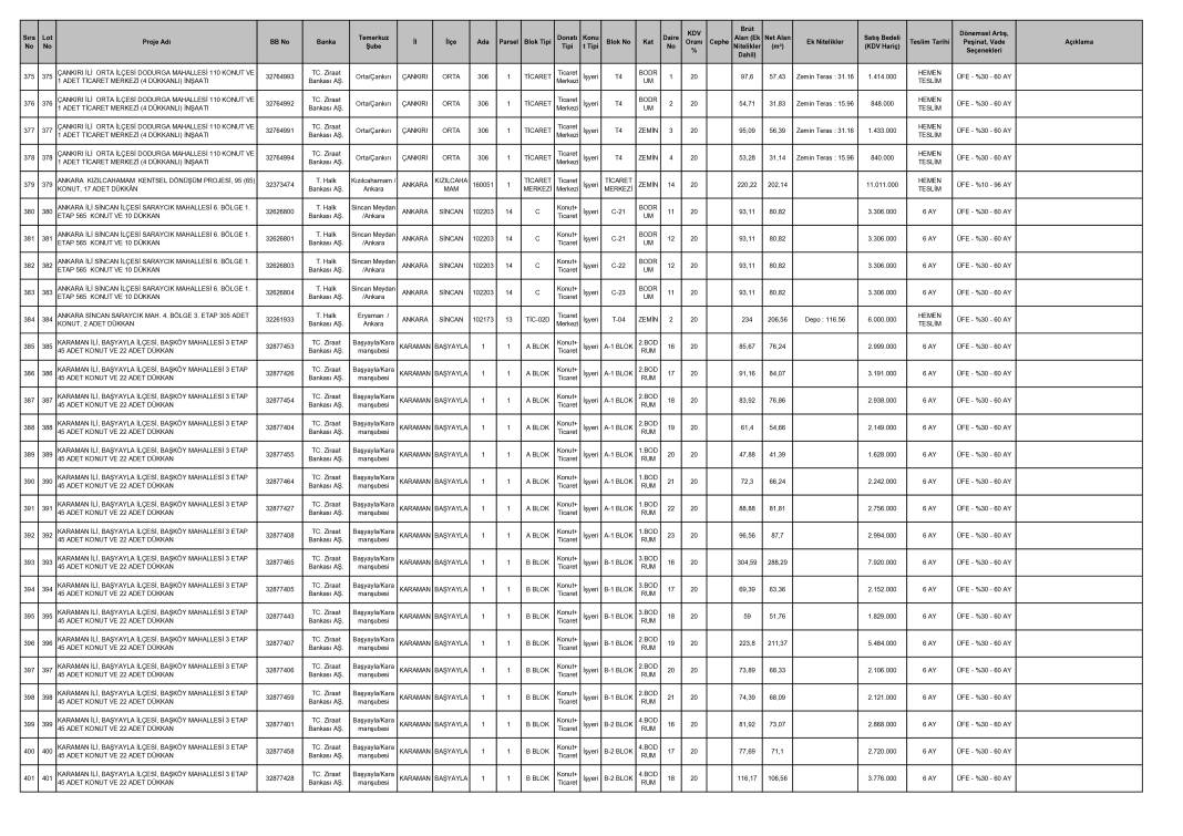
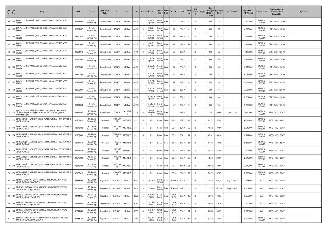
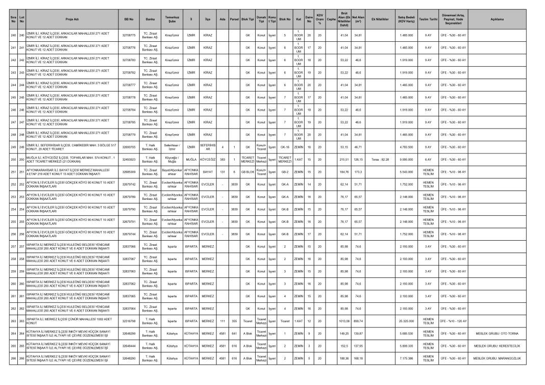
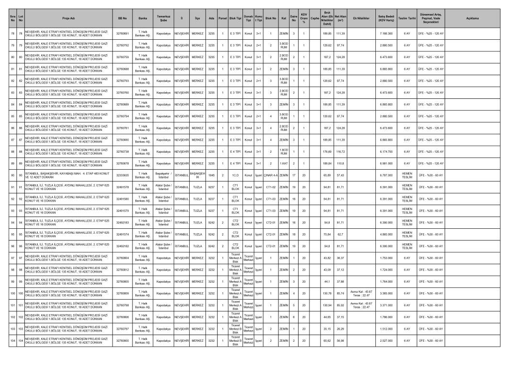
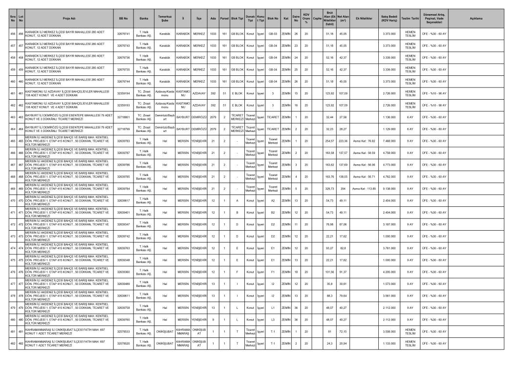
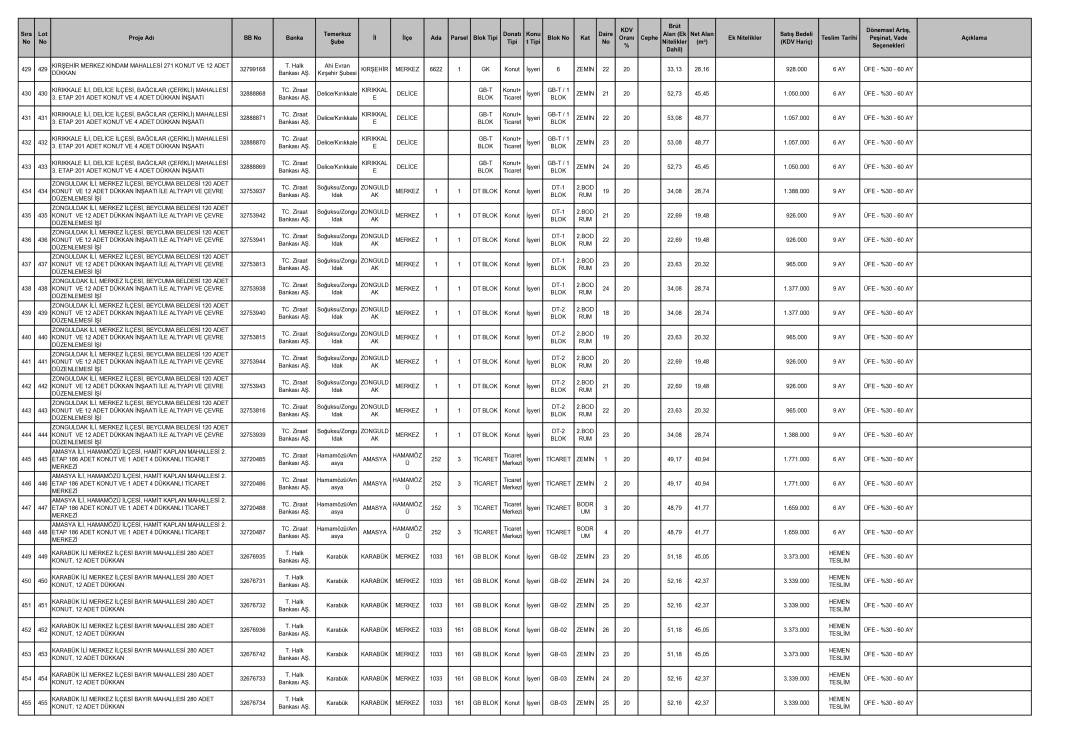
Aşağıda satışa sunulan gayrimenkullerin tamamı yer alıyor...
1025
1125
1225
1325
1425
1525
1625
1725
1825
1925
2025
2125
2225
2325
2425
2525
