Konya’da 274 kaçak yapı yıkılacak! Adresler belli oldu
Selçuklu Belediyesi, yeni bin ihaleye çıkacağını duyurdu. Bu kapsamda ilçe sınırları içinde yer alan 274 yapının yıkımı gerçekleştirilecek. Söz konusu iş için 21 Ekim’de ihaleye çıkılacak. İhaleyi yüklenen olmazsa, işi Selçuklu Belediyesi yürütecek.
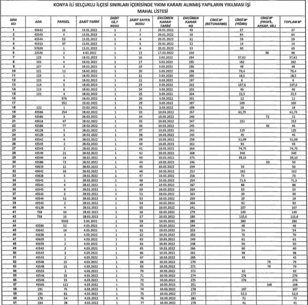
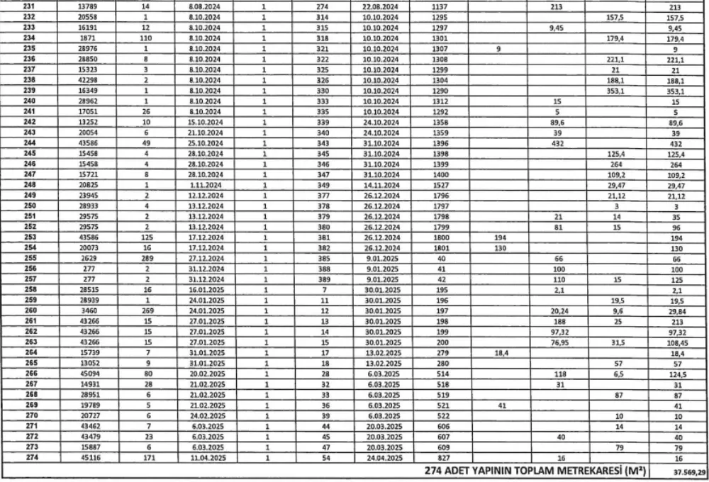
Geçtiğimiz yıl mart ve kasım aylarında da ihaleye çıkan Selçuklu Belediyesi kaçak yapıya müsaade etmeyeceğini belirtiyor. 274 yapının mahal listesi de yayınlandı. İhale bilgileri içinde yapıların bilgileri yer alıyor.
60 GÜN İÇİNDE 274 KAÇAK YAPI YIKILACAK!
274 kaçak yapının oluşturduğu ruhsatsız ve ruhsata aykırı yapıların alanı 37 bin 569 metrekare. Bu alanın 5 bin 763 metrekaresi betonarme, 23 bin 257 metrekaresi yığma ve 8 bin 548,48 metrekaresi profil, ahşap, konteyner, ve benzeri yapılardan oluşuyor. Sözleşme imzalandıktan sonra iş makineleri belirlenen alanlara girecek ve 60 gün içinde 274 kaçak yapının yıkımı tamamlanacak.
VATANDAŞ MASRAF ETSE DE GÖZÜNÜN YAŞINA BAKILMAYACAK!
Kanuna aykırı olmasına rağmen çok büyük meblağlar harcayarak ruhsatsız ve ruhsata ters olarak inşa edilen yapıların sahiplerinin gözünün yaşına bakılmayacak. Vatandaşlar, “O kadar masraf yaptık, bu kadarı da olmaz” dese de belediyenin bu konuda kararlı olduğu öğrenildi.
SELÇUKLU BELEDİYESİ EĞLENCE MEKANLARINI DA YIKMIŞTI!
Selçuklu Belediyesi, yıllardır şehrin gündemini meşgul eden bir konuya daha neşter vurmuştu. Belediye, Konya Otogarı yakınlarında bulunan eğlence merkezlerini yıkma cesaretini de göstermişti. 2023 yılından bu yana Selçuklu Belediyesi vatandaşın şikayet ettiği, kanuna aykırı şekilde inşa edilen yapıların yıkımına ağırlık veriyor. 274 yapının yıkımı ile ilgili bir diğer ayrıntıya daha Merhaba Gazetesi ulaştı. 274 yapının içinde risk teşkil eden simge bir yapı da bulunmuyor.
İŞTE ADRESLER





Kaynak:Ali Kaan Kurşun





Türkçe karakter kullanılmayan ve büyük harflerle yazılmış yorumlar onaylanmamaktadır.